“浙BA”各队大名单调整 新增球员将启用
发布时间:2025-11-15

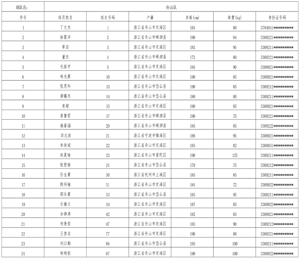
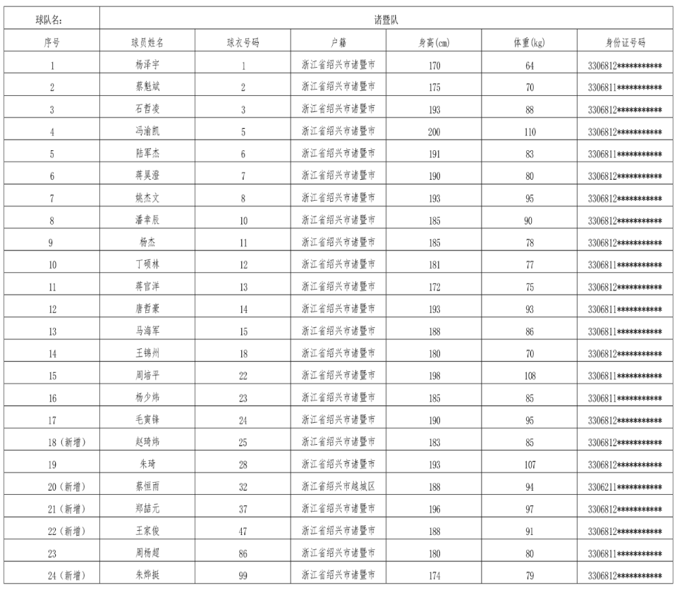
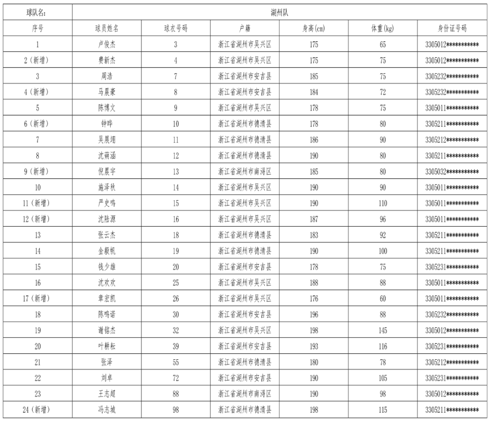
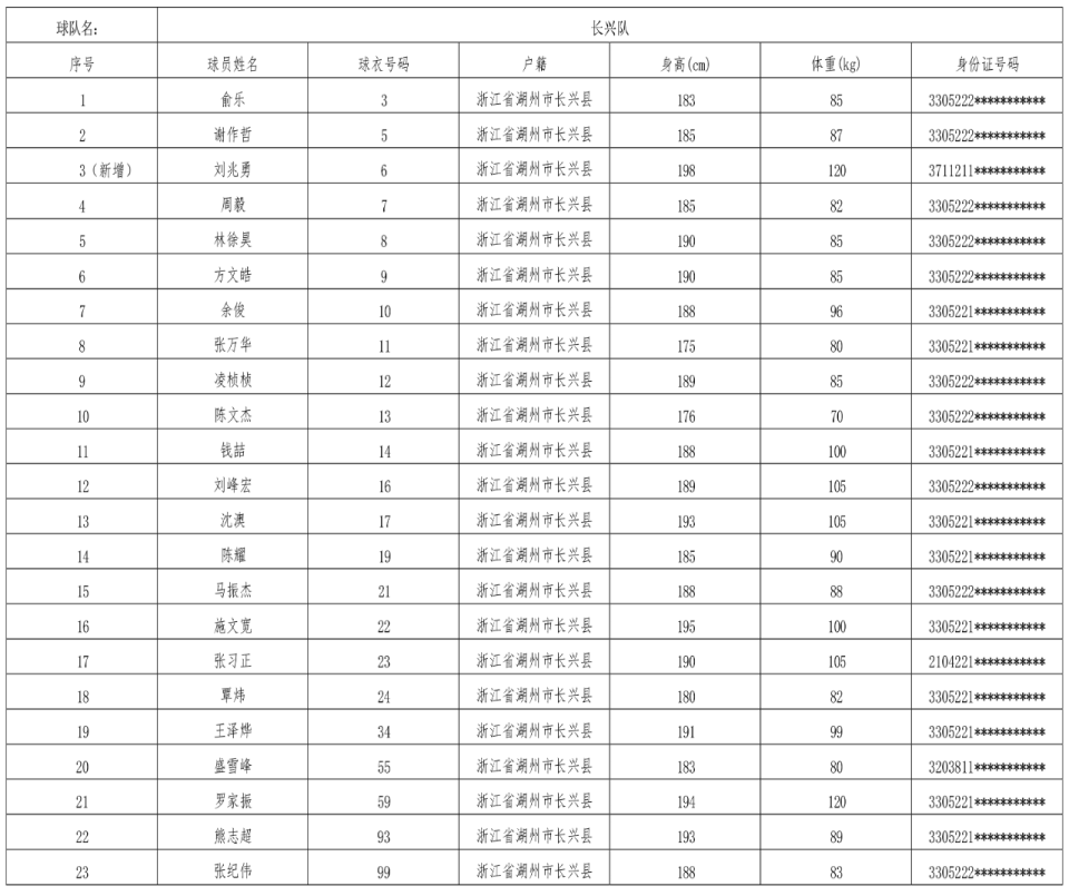
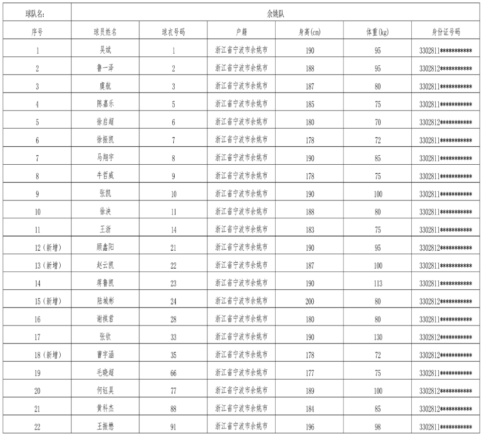
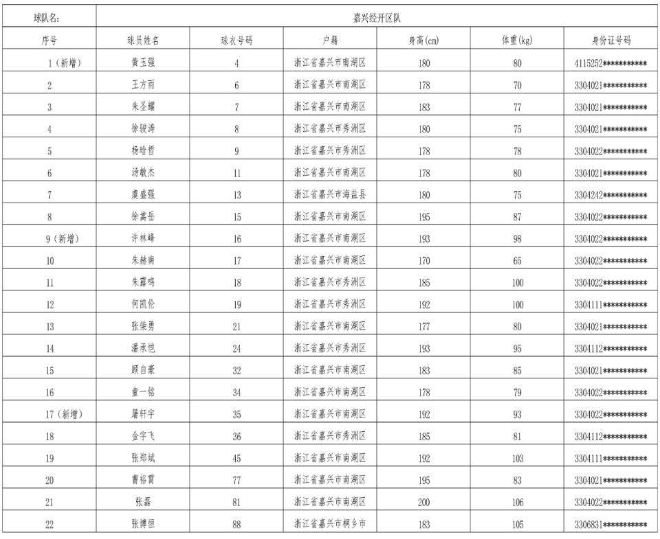
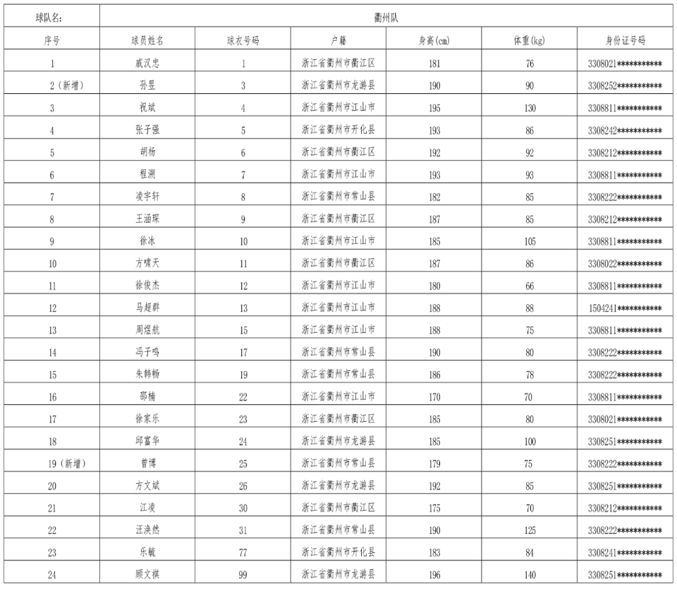
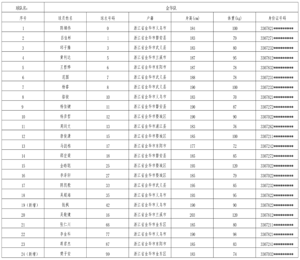
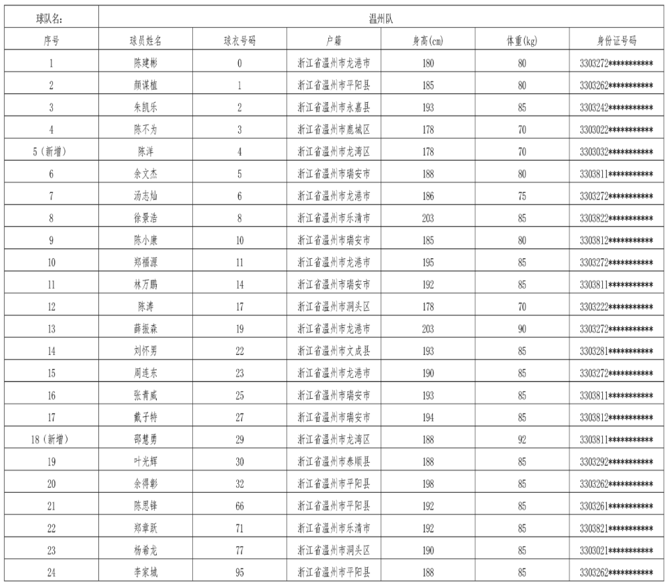
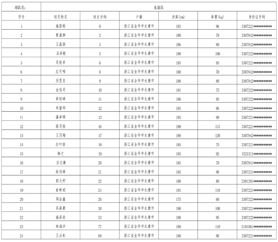
10月15日,浙江省篮球联赛组委会办公室发布通知,公布了调整后的2025年浙江省城市篮球联赛城市争霸赛阶段各参赛队大名单。新增球员自10月21日(小组赛第11轮)起允许启用。

yjlZY

TbT, om, inews

关于公布2025年浙江省城市篮球联赛城市争霸赛阶段参赛队名单(调整后)的通知.pdf

ROG

最新名单一起来看↓↓↓

om

OO, bt

(点击可查看大图)

一起期待

SDQfm

gtimg, src

iwY, com, om

  接下来的精彩比赛!

NafoA

来源 | 浙江发布

kJh, 浙江发布, img

编辑 | 陈思

https

kXV, OSCYV

om, inews

校对 | 卓新怡

inews

mCGxh, MFniw, https

一审 | 陈涵

src

Oyn, gtimg

二审 | 唐宇昕

gcB

城市争霸赛

kXV

NCkI, src, xJ

终审 | 卢发扬

dsMEN, gvGo

JkJwP, YZiTP, com